ApeXプロトコル:一文で理解するマルチチェーンデリバティブ取引プロトコルApeXのステーキング戦略
著者:ApeX Protocol
ApeX Protocolの紹介
ApeX Protocolは、Bybit傘下のDavion Labsによって孵化された分散型マルチチェーンデリバティブ取引プラットフォームです。Davion Labsはブロックチェーンと暗号通貨分野に特化したインキュベーターであり、Web3分野の優れたプロジェクトの発掘に努めています。さらに、ApeXはDragonfly Capital、Mirana Ventures、Tiger Global、Jump Trading、Kronos、CyberX、M77 Venturesなどの多くの著名な投資機関からの投資と支援を受けています。
ZKベースのマルチチェーンオーダーブックDEX
DEXとして、ApeX Proはオーダーブックモデルの永続的契約取引モードを提供することで、ユーザーに効率的な取引体験を実現しています。また、トレーダーの資産は完全にチェーン上にあり、トレーダー自身がプライベートキーを管理します。ApeXは非管理型資産の方式を通じてユーザー資産の安全性を確保しています。さらに、ZK Rollupのスケーリングとセキュリティソリューションに依存し、ApeXはオフチェーンとオンチェーンのデータの整合性と完全な検証を実現し、ユーザーの取引の安全性とプライバシー保護を確保しています。これはZKトラックの中での完全なマルチチェーンアプリケーション製品です。同類製品のdYdXやGMXと比較して、ApeXはマイニング報酬の買い戻しや推薦報酬などのメカニズムを追加し、より有利な取引手数料を提供しており、発展の潜在能力は見逃せません。
APEXトークンとマイニングトークンBANA
APEXトークンはApeXプロトコルのガバナンストークンで、総供給量は10億です。そのうち23%のトークンがコアチームと初期投資家に配分され、残りの77%はプラットフォーム構築の参加報酬、エコシステム構築、流動性インセンティブに使用されます。APEXホルダーはプラットフォームのガバナンスに参加し、プロトコルのインセンティブを共有する権利があります。
BANAはApeX Proの報酬トークンで、取引マイニングを通じて獲得します(毎週が1つのマイニングサイクル)。取引マイニング活動期間中、合計2500万枚のAPEXがロックされ、BANAとして鋳造され、ロック期間は12ヶ月です(ロック期間中BANAはUSDCに交換可能ですが、APEXには交換できません)。現在、トレーダーはBANA-USDCプールのLPを追加して取引マイニングの収益を増やすことができ、マイニング終了後の今年11月には、プラットフォームがBANAを買い戻し、焼却後のリデンプションレートに基づいてBANAをAPEXに交換します。
APEXトークンのステーキング紹介
トークンをステーキングしてプラットフォームの配当を直接受け取る
ApeX Proは最近、ステーキング機能を導入しました。ApeX Proが生成する手数料の5%がステーキング参加者に配分されます(将来的には30%に増加予定)。ユーザーはAPEX/esAPEXトークンをステーキングすることで、直接USDCを獲得できます。現在の公式データによれば、第一週のステーキングAPRは40%に達しています。
同類製品のdYdXの時価総額は3.5億ドル、GMXの時価総額は5億ドルですが、APEXの時価総額は現在約1000万ドルです。しかし、DYDXにはステーキングメカニズムがなく、GMXはプラットフォーム収入の30%をステーキング参加者に配分しています。ApeXはトークンのステーキングモデルを通じて、より多くのプロジェクト収益をトークン保有者に結びつけています。
ApeXのステーキングプランの核心的価値提案:
- 制限条件はありません。ユーザーはいつでもステーキングを開始またはキャンセルできます。もちろん、ユーザーが投入するステーキング時間が長いほど、リターンは大きくなります。したがって、各ApeXプレイヤーは自分の好みに応じてApeX Proでの投資戦略を計画し、カスタマイズできます。
- 様々なタイプのトレーダーに適しています。esAPEXおよび/APEXトークンをステーキングするだけで報酬を得ることができます。
- ステーキング報酬は、ステーキング資産だけでなく、ユーザーの取引活動もその収益を増加させます。ステーキング報酬の公式は「t2e」活動のスコアを考慮し、ステーキングユーザーに追加の収益をもたらします。
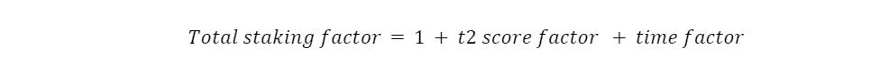
その設計原理に基づき、APEXのステーキング報酬計算公式は3つの部分に分けられます:
ステーキング数量
ユーザーが投入したAPEXまたはesAPEXは、ステーキング報酬の重み付けにおいて最も重要なパラメータであり、ユーザーがステーキング活動に参加するコスト構成でもあります。
ステーキング期間

この部分の計算方法は簡単に理解できます。ユーザーの累積ステーキング期間(日数)/365がユーザーのステーキング時間スコアとなり、ステーキング時間が増加するにつれて累積されます。ステーキングが2年後には最大値2を得ることができます。
取引スコア

ユーザーが最近4つのマイニングサイクルで得た平均T2EスコアがAverage T2E Scoreです。したがって、T2Eで得られるスコアが大きいほど、この部分のステーキングスコアが高くなります。注意すべきは、平均マイニングスコアが500を超えると、取引スコア因子が上限2に達し、ステーキング報酬には影響を与えなくなることです。
総合的なステーキング因子を計算する際、3つは加算関係にあります:

ステーキング期間は時間の蓄積によってのみ得られるため、ステーキングユーザーが個人の収益率(より多くのステーキング報酬配分比率を得る)を向上させたい場合、個人の取引スコアを増やす努力がより多くの収益をもたらすことができます。
例えば、下の図のあるステーキングユーザーは、個人の平均t2eスコアを500(固定)に引き上げたため、そのステーキング収益率は200%増加しました。ステーキングプールのAPRは40%(当期報酬額/ステーキングプールのAPEXとesAPEXの総価値*52)ですが、個人のAPRは120%です。これがt2eスコアを増やす努力の効果です。

ユーザーのAPEXステーキング収益率データ

ユーザーのAPEXステーキングスコアデータ
APEXトークンのステーキング深度分析
現在、APEXとesAPEXのステーキング総数は430万枚、価値は129万ドルで、ステーキングプランの初期段階にあります。市場に存在するステーキングプランと比較して、参加者はステーキングトークンからの報酬を享受できるだけでなく、ApeX独自のステーキング報酬と取引マイニング成績が連動する計算方式により、ステーキングとt2eの相乗効果が生まれ、参加者は以下のような追加の収益を得ることができます:
取引コストはほぼ0に近い
現在のデータによると、ユーザーがApeX Proの取引マイニングに参加すると、ユーザーは最低でも取引手数料の45%の報酬を得ることができます。この部分は取引のリベートと見なすことができ、現在市場で一般的な取引リベート率は40%ですが、ApeX Proでは最低でも45%を返還できます。
もしBANAの価格が低い時に少量のLPを組成し、約200ドルを投入すれば、マイニング報酬の割合が取引手数料の70%に達することもあります。これは市場では稀なリベート率であり、取引コストが大幅に削減されます。
ステーキングプランの導入により、ユーザーは取引報酬を得るだけでなく、追加のステーキング報酬も得られ、これによりユーザーは総報酬がほぼ取引コストをカバーできるようになります。現在、暗号通貨市場にはすべてのユーザーの総取引コストがほぼ0に近づくことができるデリバティブプラットフォームは存在せず、デリバティブ取引ユーザーは取引コストに非常に敏感であるため、ApeX Proは契約取引者に対する魅力をさらに高めています。
USDC報酬はより安定
さまざまなトークンのステーキング報酬は通常、ステーキングされた同種のトークンまたはその単独発行の報酬トークンであり、価格の不安定性や中長期的な受動的ロックの欠点があります。また、ステーキング報酬の解放は、原生トークンに追加の売却圧力をもたらし、トークン価格の下落を引き起こし、APRが持続的に低下することがあります。ユーザーがステーキングしたトークンの価値が下がり、ユーザーが離れ、トークンを売却することで価格の「負の循環」が生じ、ユーザーの元本が大きく損失することになります。
ApeXエコシステムは、現在の市場のステーキングプランに一般的に存在する上記の欠点を回避するために、報酬をUSDCの形で支給します。USDCは暗号通貨市場で最も信頼性の高いステーブルコインであり、参加者はトークン価格の変動に伴うステーキング報酬を心配する必要がなく、これによりステーキングプランがトークン価格を「負の螺旋」に陥れるリスクを回避します。
APEXロック効果
APEXトークンの流通量は現在7000万枚で、すでにステーキングプランで430万枚がロックされています。ロック率は6.15%で、市場の平均15-25%程度のステーキング率と比較すると、このレベルは低めです。これは主にステーキングプランが始まったばかりであるため、この比率にはまだ大きな成長の余地があります。
現在のAPEXトークンの価格は0.31ドルで、上述のステーキング率が15%に上昇すれば、市場には630万枚の流通APEX(現在の価値189万ドル)がステーキングプランにロックされることになります。最近1ヶ月のAPEXのBybitでの取引データを考慮すると、これにより価格が0.6ドル以上に上昇することが促進されるでしょう(通常、市場のオーダーブックにおける売り注文*10は、買い手が価格を特定の位置に押し上げるための実際の支出です)。
したがって、ステーキングプランはAPEXの流通量にロック効果をもたらすだけでなく、プランが進むにつれてAPEXトークンの価格にも非常に大きな促進効果を持ちます。
フライホイール効果が顕著
上記で述べたように、ステーキングプランと取引マイニングは関連していますが、これは取引マイニングの設計の詳細に起因しています:BANAは第52週の取引マイニング終了後、期末のリデンプションレート(BANAは買い戻して焼却されるため、リデンプションレートは初期の0.001よりも大きく、現在は0.00105)に基づいてAPEXに交換できます。APEXの価格が当時何であってもです。したがって、取引マイニング参加者にはマイニング収益の「実際の」参考があります:
- BANAの価格がAPEXの価格*リデンプションレートよりも低い場合、BANAを保持し、価格が再びリンクされるのを待ってから売却するか、交換ウィンドウを待ちます。
- BANAの価格がAPEXの価格*リデンプションレートよりも高い場合、直接APEXを売却して超過収益を得ます。
したがって、APEXトークンの価格はApeXエコシステム全体の価値基盤であり、ステーキングプランの実施により、エコシステム全体が「フライホイール効果」を形成します。

ApeXエコシステムフライホイール効果図
APEXの価格上昇はBANAの価値を高め、BANAの価値の向上は取引マイニング報酬を増加させ、取引マイニング報酬が増加すると、マイニング参加者の収益率が新しいユーザーを取引マイニング活動に引き寄せ、ApeX Proプラットフォームの手数料収入が相応に増加します。そしてプラットフォーム手数料の5%がステーキング参加者に配分され、ステーキング報酬のAPRも上昇し、さらに多くのユーザーがステーキングプランに参加することを促します。これにより市場に流通するAPEXが持続的に減少し、ステーキング参加者の買い行動がAPEXトークンの価格をさらに押し上げます。これにより、エコシステムのフライホイールが完全なサイクルを完了します。
以上のように、ApeXのステーキングプランは、現在の市場のステーキングプランの利点を取り入れつつ、自身のデリバティブ取引を主業とする特性に基づいて重要な革新を行い、一見独立したステーキングプランがエコシステム全体の価値効果を活性化させ、フライホイール効果の後押しにより、ApeXエコシステムの投資価値がより際立っています。











