iZUMiが開発したDL-AMM:UniSwap V3のアイデアに基づく改良
著者:Biteye コア貢献者 JoJonas 編集:Biteye コア貢献者 Crush
*全文約 3000 字、予想読書時間は 6 分です。 Uniswap が V3 バージョンをリリースしてから一年半以上が経ち、その提唱した「集約流動性」の概念はユーザーにとって当たり前のものとなっています。
現在、Uniswap の公式ウェブサイトが提供する分析データによると、V3 の TVL は V2 の 3 倍以上、日々の取引量は 10 倍以上です。
https://info.uniswap.org/#/
集中流動性により、ユーザーは流動性を提供する価格範囲を自ら選択でき、V3 の LP 資金効率が大幅に向上しましたが、LP を定義する恒常的な積の公式は変更されていません。つまり、無常損失は依然として存在し、資金効率の向上に伴い相対的に拡大します。
ユーザーの取引には依然としてスリッページがあり、サンドイッチ攻撃にさらされやすいです。ユーザーの視点から見ると、指値注文はより慣れ親しんだ、かつ有利な取引方法ですが、V3 はこれを実現していません。
Uniswap V3 には実際に価格範囲の概念が存在し、各範囲の流動性はその範囲の価格の上下限によって異なります。以下の通りです:

LP は市場価格の変動をリアルタイムで追跡できないため、価格が選択した範囲を超えると、LP は単一のコインの流動性に変わり、現在の市場価格に対して損失が発生します。
市場価格を追跡する上で、機関や専門投資家は明らかに優位性を持っています。また、最近のデータ分析によると、Uniswap V3 に流動性を提供している投資家は全体として損失を抱えており、手数料は無常損失を上回っていないことが指摘されています。
https://twitter.com/thiccythot_/status/1589022227437039616
AMM は本当に xy=k の道を突き進むのでしょうか?筆者は最近、新しい AMM 設計の考え方に注目し、ここで共有します。
01 iZUMi の DL-AMM モデル
DL-AMM モデルは、iZUMi の製品マトリックスにある iZiswap に由来し、その設計概念は2021年11月に iZUMi の二人の共同創業者によって発表された論文に最初に提案されました。 https://assets.izumi.finance/paper/dswap.pdf この論文は Uniswap V3 の欠点に対する革新的なアルゴリズムを提案しており、以下の特徴を持っています: 1、離散集中流動性(Discretized Contentrated Liquidity)
DL-AMM は恒常的な積の公式を使用せず、流動性を離散的な異なる価格点に配置します。各価格点は恒常的な和の公式(x + y = L)に従います。
無数の離散価格点が連結され、Uniswap に似た AMM の価格曲線を構成します。同時に、流動性を配置する際に、DL-AMM は新しい「流動性」量化定義(L = x*√p + y/√p)を通じて、Uniswap V3 の積分求和を等比求和に変換し、同様に定数時間内に効率的に完了できます。 2、限価流動性グループ(Grouped Limited Liquidity)
DL-AMM の流動性は二つのカテゴリに分けられます:LP 流動性と限価注文流動性です。前者は V3 と同様で、後者は一方向であり、目標価格を超えるとトークンは交換されず、ユーザーが「クレーム」するまで保持されます。
グループ内の流動性が目標価格を完全に超えない場合、「クレーム」は先着順の原則に従います。従来の取引マッチングエンジンは、ある価格点でのすべての注文をポーリングする必要がありますが、革新的なアルゴリズム設計により、DL-AMM は初めて定数時間内にマッチングを完了し、時間の正確性、公平性、資金の完全な非保管の安全性を保証しました。
Uniswap V3 と比較して、iZUMi が提案する DL-AMM は、異なる離散価格点に恒常的な和の公式を適用することで、各価格点での取引スリッページを回避し、離散価格点(およびそれに基づく流動性の深さ)を組み合わせて、オンチェーンの注文簿機能を実現します。後発の traderjoe の liquidity Bin なども DL-AMM の設計に由来しています。

DL-AMM モデルの概要, source: https://izumi.finance/paper/dswap.pdf
図は DL-AMM が使用する恒常的な和の公式であり、異なる離散価格点は異なる(p,L)に対応し、その LP 曲線(黄線)と Uniswap が使用する青線(恒常的な積の公式、xy=k)の最終的な違いは左図に示されています。
価格範囲が十分に密集している場合、黄線は青線に無限に近づくことができ、この時、実際の取引体験と操作体験において二者に違いはありません。
右図は DL-AMM が限価注文をサポートしていることを示しています。限価注文は特別な LP(単一コイン)として、通常の LP と共に流動性を提供し、iZiswap に Limit order 機能をもたらし、Uniswap では達成できないものです。
これらの巧妙な改良により、DL-AMM は Uniswap V3 の限価注文機能の潜在能力を拡張し、完全なオンチェーンの注文簿機能を提供します。また、iZiswap DL-AMM のオンチェーンの注文簿は、従来のアプローチが直面する技術的な課題を完全に回避し、新しい発展の方向性を提供します。
iZiswap は 2021 年 5 月 20 日にローンチされ、製品は継続的に進化を遂げ、現在全チェーンの TVL は約 94.7M ドルです。
iZUMi が提案した iZiSwap Pro は、プールマッチング(AMM モード)のオンチェーンの注文簿機能を持っています。また、ゼロスリッページ、防 MEV の分散型限価注文も新鮮です。
https://twitter.com/izumi_Finance/status/1603215989227032576
iZiswap は BNB chain/Arbitrum などの複数のチェーンで順次ローンチされ、4 月 21 日に ZkSync に上場した後、わずか三週間で ZkSync 上の TVL 最大の DEX となりました。 
iZiSwap の ZkSync 上のデータ
現在、Near 上の Ref finance、Aurora 上の Arctic は、iZiswap の独自の DL-AMM ソリューションを採用しており、前者は Near エコシステムで最大の DEX で、TVL のピーク時には 2.7 億ドルに達しました。
02 Trader Joe の Liquidity Book
Trader Joe は DL-AMM のアプローチを引き継ぎ、LP に複数の離散価格ボックス(Liquidity Bin)を設定しました。各価格ボックス内の LP も恒常的な和の公式によって定義されています(以下の図左)。
各価格ボックス内の流動性は複数のユーザーによって提供されます。c を価格ボックス内のトークン Y の占有割合とすると、現在の市場価格が存在する価格ボックス c は(0,1)の間にあることが容易にわかります。
市場価格よりも高い価格ボックスは、その流動性がトークン Y で構成され(c=0)、市場価格よりも低い価格ボックスは、その流動性がトークン X で構成されます(c=1)。
これにより、Liquidity Bin の設計は基本的に DL-AMM と同じであり、同様により低いスリッページを実現できます。
公式ウェブサイトでは、ユーザーに基づく流動性追加戦略を提供し、ユーザーが自由に流動性ボックスを組み合わせて自分の戦略を実現できるようにしています。
https://help.traderjoexyz.com/en/trader-joe/liquidity-book/liquidity-strategieshttps://help.traderjoexyz.com/en/trader-joe/liquidity-book/liquidity-strategies
例えば、以下の図の「Bid-Ask」戦略: 
Liquidity Bin は無常損失をさらに低減するために、価格の変動率に関連する取引手数料メカニズムを設計しました。
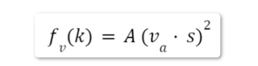
その取引手数料は、従来のメカニズムと同様の基本料金部分を除外し、可変料金部分(公式は以下の通り)を含みます。
この部分の料金は、価格ボックスの長さ s に対して二次関係を持つ変動率加算器(va)に依存します。va は価格の変動の激しさを測定するために使用され、短時間で価格が急激に変動した場合、可変料金が相応に引き上げられ、スリッページを低減し、変動が低すぎる場合には流動性を引き寄せます。

Liquidity Book は iZUMi の DL-AMM の考え方と動的料金の組み合わせと見なすことができ、その核心は依然として離散価格点の恒常的な総和公式によって全体の恒常的な積の公式を置き換えることにありますが、現在は Limit Order の機能をサポートしていません。
Uniswap が登場して以来、xy=k は AMM 分野の「聖書」として存在しているようで、十分にシンプルで、かつ十分に効果的です。
xy=k 公式の欠点により、多くのチームが新しい可能性を探求し始め、iZUMi が提案した DL-AMM モデルは、その中でも十分に実用的で美しいものの一つです。
それは、元の xy=k モデルの取引深度と体験をサポートしつつ、スリッページと MEV の低減、さらにはオンチェーンの注文簿などの新機能をもたらします。
今後、DL-AMM に基づくさらなる革新が、オンチェーンにより豊かな流動性追加戦略や新しいアプリケーション(例えば、ユーザーが気づかないオンチェーンの注文簿)の出現に向けて技術的基盤を整えることになるでしょう。
DL-AMM は未来になるのでしょうか?私たちはその時を待ちましょう。














