Paradigm新研究:NFT碎片化重組及流動性難題如何解決?
作者:Paradigm研究合夥人Dave White、Dan Robinson,Fractional協議創始人andy8052
編譯:隔夜的粥,巴比特
概要:在這篇文章中,作者描述了一種稱為"RICKS"的NFT碎片化方案,這種設計解決了重組問題,確保 RICKS 始終可轉換回其底層 NFT,同時避免all-or-nothing買斷拍賣的流動性和協調問題。
一、介紹
本文介紹了一種新的 NFT碎片化原語: RICKS(全稱為Recurrently Issued Collectively Kept Shards)。
當你將NFT拆分為RICKS 時,該協議會以恆定速率(例如每天1%或每月5%)鑄造新的碎片並出售它們。收益將作為Staking 獎勵分配給現有的 RICKS 持有者。
這種設計解決了重組問題,確保 RICKS 始終可轉換回其底層 NFT,同時避免all-or-nothing買斷拍賣的流動性和協調問題。
二、今天的NFT碎片化
2、1 重組問題
對NFT進行拆分是很困難的事,因為這會面臨一個all-or-nothing的問題。
如果你想賣8塊餅乾的25%,你可以賣其中的兩塊餅乾,如果你想出售一家企業25%的股份,你可以出售其未來現金流的25%的權利。無論哪種情況,剩下的 75% 對你來說仍然是有用的。
另一方面,擁有 75% 的遊戲內資產可能無法讓你在給定的遊戲中使用該資產的一部分。如果你將此類資產的25%出售給買方,而他們拒絕將其賣回,甚至他們丟失了自己的私鑰,那麼你就有麻煩了。由於無法重組NFT,即使你名義上擁有99.99%的所有權,該所有權也可能會變得一文不值。
因此,碎片化協議必須提供某種方法來將NFT碎片重組回原始NFT,我們將這種設計約束稱為重組問題。
2、2 買斷問題
迄今為止最流行的解決方案是由fractional.art 開創的,即買斷拍賣(Buyout auction)。
情況:Alice 使用帶有買斷拍賣機制的碎片化協議將其NFT的25%出售給Bob。
買斷拍賣:第三方 Clara 可以隨時觸發碎片化NFT的買斷拍賣:出價最高ETH(可能是 Clara)的人將獲得整個 NFT,並將銷售收益以75/25 的比例分配給Alice 和 Bob。
2、3 買斷拍賣的目的
買斷拍賣的存在是為了通過解決重組問題來確保 Alice 和 Bob 的碎片保持其公平的市場價值。
要了解原因,假設 Alice 使用不提供買斷拍賣的協議將她的 NFT(代表遊戲內資產)分成 100 個碎片,在這種情況下,只有擁有所有100個碎片的人才能夠重建NFT。
如果有人不小心銷毀或弄丟了這100個碎片中的一個,那麼任何人都無法重建這個NFT,剩餘的碎片將失去所有價值。由於這種風險,即使在碎片化時,100個碎片中的每一個的價值都遠低於原NFT價值的1/100。
而通過買斷拍賣,失去其中一個碎片不再會破壞其它碎片的價值。例如,如果Alice 在鑄造後立即丟失了她的一個碎片,她可以發起買斷拍賣並提交中標以取回NFT,其中99% 的收益歸她所有。
從這個意義上說,買斷拍賣與其說是一種功能,不如說是一種必要的邪惡。它們當然不是為了像Clara這樣的潛在感興趣的買家的利益,它們一開始就不是碎片化NFT的利益相關者,因此不值得協議特別考慮。
2、4 意外買斷
不幸的是,由於資金限制,買斷可能會遇到問題:如果 NFT 足夠有價值,一旦拍賣開始,可能沒有任何人能夠籌集到足夠的錢來支付一個公平的價格。
例如以下情況:
Alice 有一個價值 1,000 ETH 的 NFT,她使用帶有買斷拍賣機制的碎片化協議將其拆分,並將50%的碎片出售給Bob。隨後,市場狀況突然發生了變化,這個NFT的公允價值躍升到了100,000 ETH,這是該NFT 在最佳條件下出售時可能獲得的價值(例如在佳士得拍賣活動)。
資本限制:找到願意在短時間內以全額估值購買該NFT 的買家可能是不現實的。也許這個NFT在一周內的鏈上拍賣中最多只能獲得 10,000 ETH。
碎片持有者分歧:由於10,000 ETH遠低於這個NFT 的公允價值,Alice 會強烈反對以這個價格出售。另一方面,Bob對公允價值沒有強烈的感覺,並願意以較低的價格出售這個NFT,因為這仍然是其最初購買價格的10倍,這樣,他就可以購買他更喜歡的其他NFT。
收藏家機會:一位精明的收藏家Clara發現了這個機會,並發起了10,000 ETH 的買斷競拍。而包括Alice在內的任何人都無法在短時間內擊敗Clara的出價,因此她贏得了這個NFT 的所有權,然後幾個月後她在佳士得拍賣會上以100,000 ETH 的價格賣掉了這個NFT。
2、5 保留價格
為了避免這種情況,fractional.art 在其買斷拍賣機制中包含了一個底價,它指定了可以發起買斷競拍的最低價格。在上面的例子中,如果底價設置為 100,000 ETH,Clara 將無法以 10,000 ETH 發起拍賣。
而當用戶試圖設定底價時,問題就來了。在上面的例子中,Alice 不想以遠低於 100,000 ETH 的公允價值出售 NFT,但 Bob 並不介意。在這裡達成協議可能非常困難並且存有爭議,特別是當涉及的各方可能會隨著碎片易手而改變時。
在實踐中,設定底價需要碎片所有者的積極參與。因此,由於參與者的注意力需求,它們不會經常更新。目前還沒有人找到一種底價機制來解決意外買斷的問題。
三、真實案例研究:殭屍Punk買斷

活死人派對(The Party of the Living Dead )是一群NFT 愛好者,他們聯合起來競標一個稀有的殭屍CryptoPunk,然後他們以1200 ETH 的價格買到了這個殭屍CryptoPunk,隨後,他們在fractional.art 上對其進行碎片化,並按照貢獻者的貢獻比例將碎片分配給貢獻者。
在最初的碎片化過程中,有5個鯨魚地址共同擁有了這個NFT 56%的碎片份額,而其餘部分碎片則分散在其他451名參與者手中。
3、1 買斷
這個殭屍Punk的碎片隨後在Uniswap 上進行交易,一位匿名收藏家意識到這些碎片的價格相對於其他殭屍Punk的價值來說是被低估了。這位收藏家購買了足夠的碎片來增加其個人的底價投票權,然後降低買斷底價,並發起了買斷拍賣。
這個買斷拍賣以1,100 ETH 的價格開始(低於活死人派對的收購價),並最終以1,900 ETH的價格收盤。
注意:如果你為此PartyBid 做出了貢獻,請確保你在此處收集了你的dead token,以便你可以在此處領取你的最終買斷價格部分。
3、2 不開心的碎片持有者
很多非鯨魚碎片持有者對這次買斷競拍並不滿意,他們認為這次收購的價格太低。
不幸的是,他們發現自己基本上無能為力。單獨來看,他們中沒有任何人能夠獲得足夠的流動性來擊敗出價並直接購買 NFT。即使他們想聯合起來以單一投標人的身份購買 NFT,協調開銷以及有限的可用時間也使這條路徑變得不可行。
四、 RICKS
4、1 概述
RICKS解決了重組問題,同時避免了完全買斷的流動性和協調問題。
該協議不是一個all-or-nothing的買斷拍賣機制,而是以恆定速率為給定的 NFT 發行新的 RICKS(例如,每天 1%,或每月 5%),這些新的 RICKS 在拍賣中以 ETH 出售,收益將作為 Staking 獎勵提供給現有的 RICKS 持有者。
正如我們將在下面解釋的,希望增加其所有權且流動性受限的買家,總是可觸發少於一整天新增 RICKS 數量的拍賣。
這意味著 NFT 的所有權總是逐漸流向願意為其支付最多費用的人,而現有所有者則從中受益。
RICKS 允許有動力的買家隨著時間的推移獲得 NFT 的絕大多數所有權。我們通過添加極端多數所有者完成其所有權並重組 NFT 的機制來解決重組問題。
舉個例子:
當Alice的NFT價值1000 ETH時,她使用RICKS機制將其NFT50%的碎片賣給了 Bob。現在,市場條件發生了變化,NFT 在最佳執行銷售時的公允價值為 100,000 ETH。但是,沒有人能在短時間內為其提供那麼多流動性。
碎片持有者分歧:第三方 Clara 想以 10,000 ETH的價格購買整個 NFT,Bob 對這個提議很滿意,但 Alice 並不同意,她不希望以低於公允價值的價格出售這個NFT。此時,Alice 和 Bob 各有 50 個 RICKS(總共 100 個),而發行率為 1%。
收藏家機會:Clara參加每日拍賣並以 10,000 ETH 的估價出價,對於這個NFT的1%,一個RICKS 的總價值為 100 ETH。
保護公平價格:Alice 意識到這個出價太低,以 90,000 ETH 估值出價,或 900 ETH購買一個 RICKS。由於她擁有現有 RICKS 的一半,並將獲得拍賣收益的一半,因此她只需要提供 450 ETH 來資助她的出價。
4、2 潛在結果
之後就可能會發生以下兩種結果:
1、如果Clara的出價不超過Alice,則Alice將贏得拍賣。她將向 Bob 支付 450 ETH,並將獲得一個額外的 RICKS,因此她現在擁有 51/101 RICKS,或 50.5% 的供應量。Alice 和 Bob 以他們都認為有利的價格相互交易。
2、如果Clara 的出價比 Alice 高,比如說支付 1,000 ETH 的公允價格,那麼 Alice 和 Bob 將各自獲得 500 ETH,而 Clara 將獲得一個 RICKS,因此她現在擁有 1/101 的碎片,或略低於 1%。同樣,Alice、Bob和Clara都以他們滿意的價格進行了交易。
無論哪種方式,如果這種活動隨著時間的推移而持續存在,它將引起注意和買方流動性,從而提高所有相關方以公允價格進行交易的可能性。
4、3 完成買斷
假設 Clara的目標就是擁有這個NFT,並以100,000 ETH 的估值反覆競標 RICKS,這是其他人都無法匹敵的價格。最終,她擁有了99%的RICKS(也許是在贏得拍賣 458 天之後),現在,她想申領這個NFT,為此,協議中將需要一個額外的機制。
一種方法是承認RICKS有一些內在的缺陷,並使用一種彩票機制。例如,如果一個持有者控制了NFT 99%的碎片,他們可能會觸發一個拋硬幣程序,如果這個幣正面朝上,他們得到整個NFT(因此他們額外獲得1%),如果是背面朝上,則其他所有者的頭寸將翻倍(因此,這個持有者將損失1%)。從預期價值的角度來看,這一程序是完全公平的。
為了避免99%邊界附近出現奇怪的情況,我們可以允許NFT碎片的大股東持有者在98%、90%甚至75%時觸發拋硬幣程序,但需要注意的是,離99%閾值越遠,其贏得其餘碎片的概率就越低。
4、4 拍賣詳情
如果碎片化NFT變得足夠昂貴,對於大多數人來說,即使出價1%也可能會貴得讓人望而卻步。此外,在某些日子裡,可能沒有任何人對拍賣感興趣,因此舉行拍賣將是一種浪費。
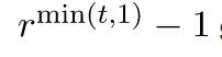
因此,RICKS協議可以實現一個按需拍賣系統,而不是每天舉行拍賣:如果距離上次拍賣已經有t天了,並且發行率是r/天,那麼協議將拍賣:

個碎片。我們取經過的時間和 1 天中的最小值,以避免一次發出太多 RICKS。
例如,如果發行率為每天 1%,因此 r=1.01,並且在觸發新的拍賣時距離上次拍賣已經過去了半天,那麼協議將發行和出售:

個新的RICKS供應量。
五、附帶功能
5、1 套利
就像現在的碎片化NFT一樣,我們希望RICK可以在Uniswap等AMM DEX上進行交易。這提供了一種方便的套利機制,以確保RICKS拍賣不會以過低的價格完成:如果拍賣的收盤價明顯低於Uniswap上的RICKS價格,套利者可以通過在拍賣中購買RICKS,然後立即在Uniswap上出售來獲利。
5、2 拍賣底價
我們可以考慮將這一邏輯進一步推進,並指定 RICKS 拍賣出價必須至少比 Uniswap TWAP 價格高出 5% 或 10%。
因為一個足夠積極的買家仍然能夠在足夠長的時間範圍內積累 NFT 的所有權,重組問題仍然會得到解決。而且,由於拍賣會以高於 Uniswap 的價格進行交易,因此它們可能會造成最小的拋售壓力。
另一方面,這種修改會降低 RICKS 持有者staking獎勵的一致性。它還使重組變得更加困難,而且很難先驗地判斷其對市場的影響。
5、3 碎片化發布
RICKS 提供了一種自然機制來啟動 NFT 的新部分碎片,NFT 所有者不必在 Uniswap 上提供碎片並選擇價格,而是可以簡單地使用 RICKS 進行拆分,自己以100%所有者的身份開始,讓自動拍賣來處理其餘部分。
5、4 申領拍賣收益
RICKS 持有者需要質押他們的 RICKS 才能獲得拍賣收益。
然而,這對可組合性提出了挑戰。 特別是,始終無法確定 Uniswap V3 上每個集中流動性頭寸持有多少 RICKS,這意味著拍賣收益不能直接提供給 Uniswap V3 流動性提供者。
相反,RICKS 協議將跟蹤所有 Uniswap V3 LP 擁有的總 RICKS,並將所有這些的拍賣收益用於 Uniswap V3 池子的流動性挖礦獎勵,如本文所述。通過這種方式,激勵市場參與者儘可能有效地向資金池提供流動性。
這個問題還有其他潛在的解決方案,包括(1)創建一個包含 RICKS 和 ETH 拍賣收益的封裝RICKS 代幣;(2)將拍賣收益重定向到RICKS的回購,但兩者都有明顯的缺點。
六、下一步
我們希望 RICKS 能讓 NFT碎片化變得更加有趣和有用。
它們還開闢了一個全新的設計空間,例如,我們可以讓RICKS 質押者在未來的拍賣中自動使用他們的獎勵進行競價。RICKS也可以匯集在一起形成鏈上的"委員會",由具有類似屬性的RICKS組成,如例如 Zombie Punks 或 Wizard Hat 和 Scarf Ocelots。














