Paradigm:一文了解 NFT 恆定速度發行銷售協議(CRISP)
作者:Dave White,Frankie,Justin Roiland
原文標題:《Constant Rate Issuance Sales Protocol》
編譯:Kyle,DiFi 之道
介紹
本文介紹了恆定速度發行銷售協議(CRISP),這是一種定價機制,旨在隨著時間的推移以目標速度銷售 NFT。
如果我們想每天賣出 100 個 NFT,但實際只能賣出 10 個,那麼 CRISP 會慢慢降低"立即購買"的價格。如果我們想每天賣出 100 個 NFT,但實際能夠賣出 200 個,那麼 CRISP 會在每次新賣出時迅速提高"立即購買"的價格。
我們提供了一個 Python notebook 來模擬這個機制的行為,以及一個參考 Solidity 實現。
動機
想像一下,你有一套無限數量的 NFT,你想以固定的速度出售------比如每天 100 個。
你可以設計一個拍賣系統來實現這個目標。你可以在一次拍賣中出售所有 100 個,或者可能舉行 100 次不同的拍賣,每次拍賣一個 NFT。
但是,拍賣的用戶體驗可能非常笨拙------拍賣需要花費 gas,我們希望用戶能夠隨時購買其中一個 NFT,而無需等待拍賣終止。
機制
概述
CRISP 跟蹤 NFT 的銷售速度,並將其與目標速度進行比較。
當 NFT 的銷售速度相對於目標價格過快時,我們希望能夠快速調整價格。與目標速度相比,銷售速度越高,我們想提高價格的速度就越快。
另一方面,當 NFT 的銷售速度相對於目標速度太慢時,我們不希望過於倉促降低價格。畢竟,在過去的某個時候,有足夠的需求來支撐當前的價格。因此,隨著時間的推移,我們會慢慢降低價格。
銷售速度
我們使用指數移動和或 EMS 來衡量銷售速度。
EMS 是對指數移動平均線的調整,通常用於量化交易,以衡量某個數量在最近加權時間窗口內的累積。它的計算成本很低,並且需要很少的存儲空間。
CRISP EMS特別是用來跟蹤最近一段時間內出售的 NFT 數量,該時間段由銷售平均半衰期定義。平均半衰期為 100 的銷售意味著 100 個區塊前的銷售只會增加當前 EMS 的 1/2。
區塊b中的 EMS 遞歸定義為:

其中S_b 是一個變量,表示在區塊b中發生的銷售數量。
給定兩個區塊 b1 和 b2,假設區塊之間沒有發生銷售,我們有

我們可以使用上述公式將目標銷售速度轉換為一個目標 EMS。 假設我們的目標是每 n 個區塊進行 1 次銷售,那麼目標 EMS 應該是

提高價格
如果當前的 EMS 高於目標,則根據定義,銷售速度則太高了。 因此,我們希望為下一個 NFT銷售收取更多費用,因為這(可能)會減少需求,或者至少會增加收入。
相對於期望的價格,我們賣出 NFT 的速度越快,我們更新價格的速度就越快。 所以,我們定義一個變量

然後設定

其中價格上漲速度控制價格對目標價格和觀察價格之間差異的反應速度。
在此示例中,我們在 200 個區塊的周期內對 CRISP 進行建模。 我們的目標是每 100 個區塊進行一次銷售,並使用 700 個區塊的銷售半衰期。 在給定的時期內,我們看到每 50 個區塊發生一次購買,這超出了我們的目標。 這會在每次購買時將 EMS 推高,價格也會相應做出反應。
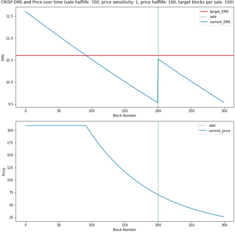
降低價格
當前EMS低於目標時,銷售速度太低。 因此,我們希望為下一個 NFT 收取更少的費用,使其成為更具吸引力的購買方式。
但是,我們希望隨著時間的推移緩慢降低價格,因為我們設法以之前的價格達到了目標速度,而且我們不希望降價超過我們必須的水平。
假設最後一筆交易發生在區塊 b1 的price{b1},那麼區塊 b2 的價格由下式給出:

其中價格衰減半衰期控制衰減速度。
因為我們只想在銷售速度低於目標時衰減價格,如果當前銷售是自銷售速度低於目標速度後的第一次銷售,我們從低於目標時的區塊開始計算衰減,而不是從自上次銷售以來的時間。

在此示例中,我們在 300 個區塊的周期內對 CRISP 進行建模。 同樣,我們的目標是每 100 個區塊進行一次銷售。 在給定的時間段內,只有一次購買發生在第 200 個區塊。 我們看到當前 EMS 在前 200 個區塊上緩慢下跌,但價格直到第 100 個區塊左右才開始下跌,此時當前 EMS 跌破目標。 由於購買後,EMS仍然低於目標,價格沒有上漲。
完整示例
一個較長時間段的 CRISP 示例。 起初,購買速度太高,所以每次購買都會漲價。 經過一段時間的沒有購買,價格和購買速度大致穩定。
代碼
Python notebook 和 Solidity 實現可在 https://github.com/FrankieIsLost/CRISP 獲得。
結論
我們希望 CRISP 能夠解鎖一系列酷炫有趣的 NFT 動態。
如果您發現任何問題或想到任何改進,我們很樂意聽取您的意見! 您可以在 Twitter 上通過 @DaveWhite、@FrankieIsLost 和 @justinroiland 聯繫我們。
附錄
將目標銷售速度轉換為目標 EMS:證明
假設我們的目標是每第 n 個區塊銷售 1 次。 然後,使用公式 (1),第 k\^{th} 次銷售的區塊上的 EMS 為

這是一個幾何級數,收斂於

因此,我們可以在目標銷售速度和目標 EMS 之間進行轉換。















